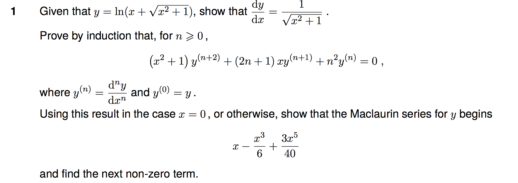
01-S3-Q1