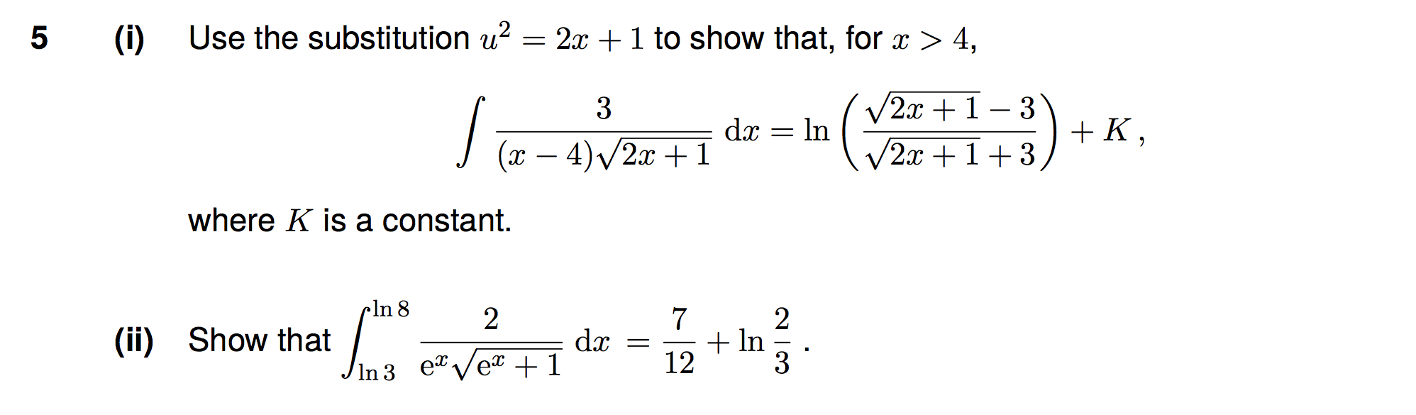
Tags Integration by substitution Code 06-S1-Q5 Year 2006 Step 1 Question number 5 Polynomial substitution, exponential and logarithms. [STEP I 2006 Question 5 (Pure)]