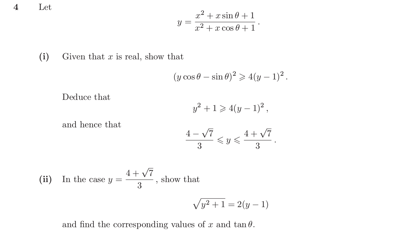
Tags Inequalities for rational function Code 16-S2-Q4 Year 2016 Step 2 Question number 4 inequality, rational function, quadratic ratio. [STEP II 2016 Question 4 (Pure Mathematics)]