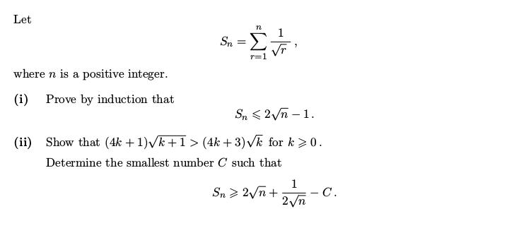
17-S2-Q6