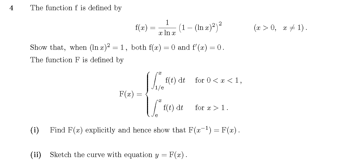
Tags Sketching an integral function Code 18-S1-Q4 Year 2018 Step 1 Question number 4 Integration, by substitution, curve sketching. [STEP I 2018 Question 4 (Pure)]