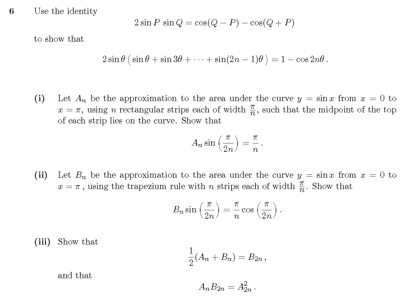
Tags Numerical integration Code 18-S1-Q6 Year 2018 Step 1 Question number 6 Numerical integration, trigonometry, trapezium rule, midpoint rule. [STEP I 2018 Question 6 (Pure)]