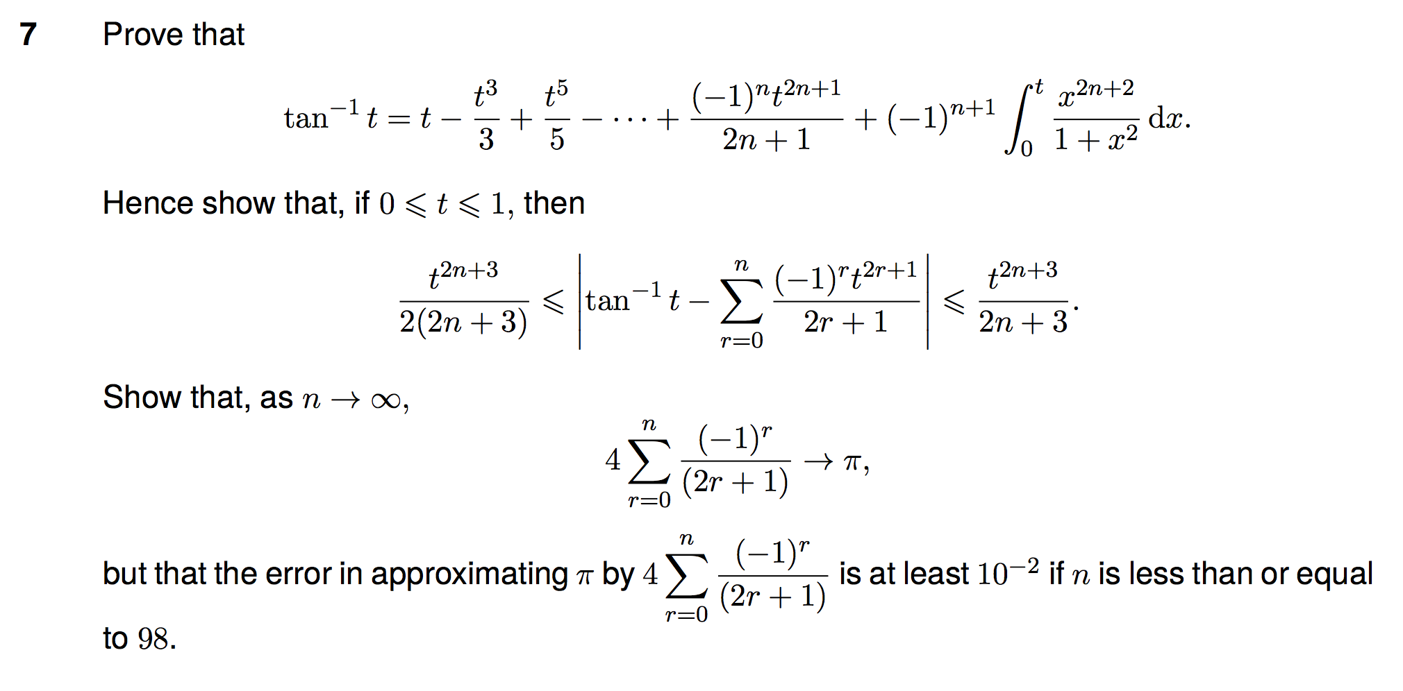
Tags Analysis Code 87-S3-Q7 Year 1987 Step 3 Question number 7 Taylor series of arctan function with remainder, inequality, modulus function, series, error approximation. [STEP II 1987 Question 7 (Pure)]