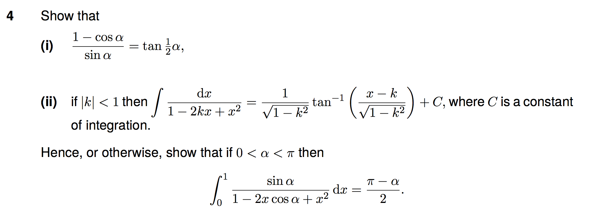
Tags Integration Code 94-S1-Q4 Year 1994 Step 1 Question number 4 Trigonometry identity, arctan. [STEP I 1994 Question 4 (Pure)]