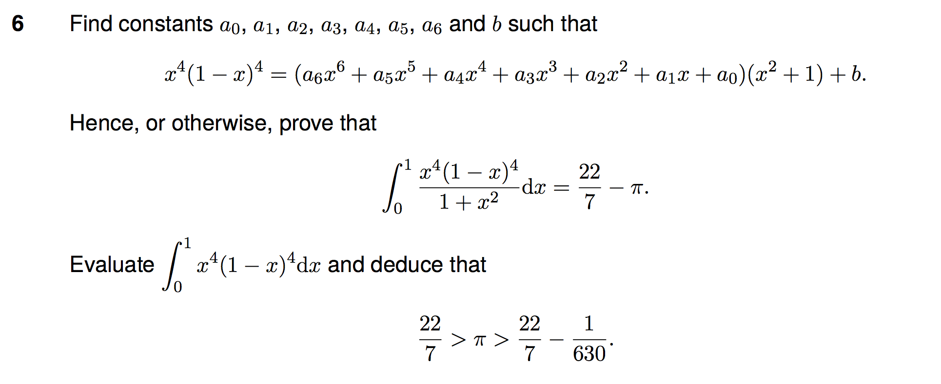
Tags Analysis Code 97-S1-Q6 Year 1997 Step 1 Question number 6 Factorisation, algebraic manipulation, integration, inequality, C1. [STEP I 1997 Question 6 (Pure)]