12-S3-Q4 Read more about 12-S3-Q4 Differentiation, summation sign manipulation, infinite series, logarithms. [STEP III 2012 Question 4 (Pure)]
10-S3-Q1 Read more about 10-S3-Q1 Sum of squares, algebraic manipulation, inequalities. [STEP III 2010 Question 1 (Pure)]
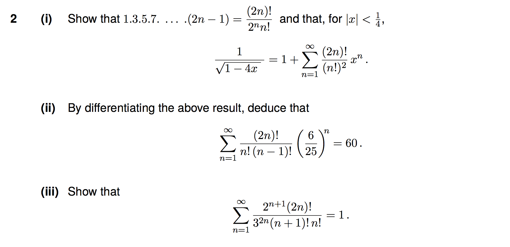
07-S3-Q2 Read more about 07-S3-Q2 Product, binomial expansion, differentiation. [STEP III 2007 Question 2 (Pure)]
05-S2-Q6 Read more about 05-S2-Q6 Differentiation, binomial expansion, general term, series. [STEP II 2005 Question 6 (Pure)]
03-S1-Q1 Read more about 03-S1-Q1 Simultaneous equations, sum of squares and cubes. [STEP I 2003 Question 1 (Pure)]
95-S2-Q1 Read more about 95-S2-Q1 Geometric series, differentiation, sum of squares. [STEP II 1995 Question 1 (Pure)]
92-S3-Q8 Read more about 92-S3-Q8 Trigonometry, binomial coefficients, sum. [STEP III 1992 Question 8 (Pure)]
91-S3-Q8 Read more about 91-S3-Q8 Integration by parts, reccurence formula, binomial coefficient. [STEP III 1991 Question 8 (Pure)]